>

“Ultimate Guide to Second Moment of Inertia of I-Beam: Key Insights”

second moment of inertia of i beam
<!DOCTYPE html>
<html lang="en">
<head>
    <meta charset="UTF-8">
    <meta name="viewport" content="width=device-width, initial-scale=1.0">
    <title>Ultimate Guide to Second Moment of Inertia of I-Beam: Key Insights</title>
    <style>
        body {
            font-family: Arial, sans-serif;
            line-height: 1.6;
        }
        h2 {
            color: #2c3e50;
        }
        h3 {
            color: #34495e;
        }
        ul, ol {
            margin-left: 20px;
        }
        b {
            font-weight: bold;
        }
    </style>
</head>
<body>

<article>
    <p>The <b>second moment of inertia</b> (also known as the <b>area moment of inertia</b> or <b>moment of inertia of area</b>) is a fundamental property in structural engineering and mechanics, particularly when analyzing the bending and deflection of beams. This property is crucial for understanding how different beam shapes, such as the I-beam, respond to external loads. This guide delves into the intricacies of the second moment of inertia of I-beams, providing key insights and practical applications.</p>

    <h2>Understanding the Second Moment of Inertia</h2>
    <p>The <b>second moment of inertia</b> is a geometrical property that reflects how a beam's cross-sectional area is distributed about a certain axis. It is a measure of an object's resistance to bending and deflection. The higher the second moment of inertia, the more resistant the beam is to bending.</p>

    <h3>Mathematical Definition</h3>
    <p>The second moment of inertia, denoted as <b>I</b>, is mathematically defined as:</p>
    <p><b>I = ∫ y² dA</b></p>
    <p>where <b>y</b> is the distance from the axis to the differential area <b>dA</b>. This integral sums the product of the area and the square of its distance from the axis, providing a measure of the distribution of the area.</p>

    <h3>Significance in Structural Engineering</h3>
    <p>In structural engineering, the second moment of inertia is essential for calculating the <b>bending stress</b> and <b>deflection</b> of beams. It is used in the <b>bending equation</b> and <b>deflection formulas</b>, which are critical for designing safe and efficient structures.</p>

    <h2>The I-Beam: A Structural Workhorse</h2>
    <p>The I-beam, or H-beam, is one of the most commonly used structural elements in construction and engineering. Its unique shape provides a high second moment of inertia relative to its weight, making it ideal for supporting loads over long spans.</p>

    <h3>Design and Geometry of I-Beams</h3>
    <p>An I-beam consists of two parallel flanges connected by a vertical web. The flanges resist bending, while the web resists shear forces. The distribution of material in this shape maximizes the second moment of inertia, providing excellent resistance to bending.</p>

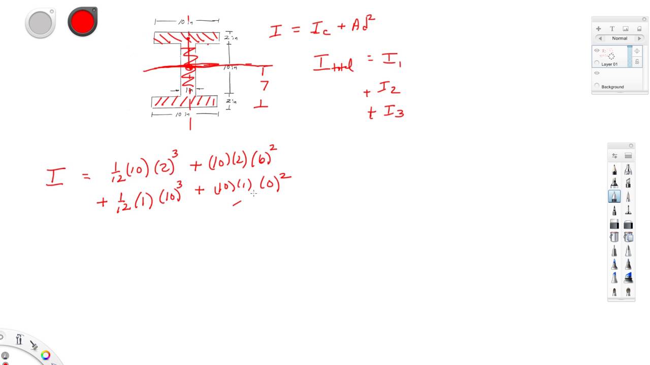
    <h3>Calculating the Second Moment of Inertia for I-Beams</h3>
    <p>Calculating the second moment of inertia for an I-beam involves breaking down its cross-section into simpler shapes, calculating their individual moments of inertia, and then using the <b>parallel axis theorem</b> to find the total moment of inertia.</p>

    <h4>Step-by-Step Calculation</h4>
    <ol>
        <li><b>Divide the I-Beam into Simpler Shapes:</b> Typically, the I-beam is divided into three rectangles: the top flange, the bottom flange, and the web.</li>
        <li><b>Calculate the Moment of Inertia for Each Shape:</b> Use the formula for the moment of inertia of a rectangle about its centroidal axis: <b>I = (b*h³)/12</b>, where <b>b</b> is the base width and <b>h</b> is the height.</li>
        <li><b>Apply the Parallel Axis Theorem:</b> If the axis of interest does not pass through the centroid of the shape, use the parallel axis theorem: <b>I = I_centroid + A*d²</b>, where <b>A</b> is the area of the shape and <b>d</b> is the distance from the centroid to the axis of interest.</li>
        <li><b>Sum the Moments of Inertia:</b> Add the moments of inertia of all the individual shapes to get the total moment of inertia for the I-beam.</li>
    </ol>

    <h3>Example Calculation</h3>
    <p>Consider an I-beam with the following dimensions: top flange width = 200 mm, top flange thickness = 20 mm, web height = 300 mm, web thickness = 10 mm, bottom flange width = 200 mm, bottom flange thickness = 20 mm.</p>

    <p>1. Calculate the moment of inertia for each part:</p>
    <ul>
        <li><b>Top Flange:</b> <b>I_top = (200 mm * (20 mm)³) / 12 = 1,333,333 mm⁴</b></li>
        <li><b>Bottom Flange:</b> <b>I_bottom = (200 mm * (20 mm)³) / 12 = 1,333,333 mm⁴</b></li>
        <li><b>Web:</b> <b>I_web = (10 mm * (300 mm)³) / 12 = 22,500,000 mm⁴</b></li>
    </ul>

    <p>2. Apply the parallel axis theorem:</p>
    <ul>
        <li><b>Distance from centroid to axis for flanges:</b> Assume the centroid of the I-beam is at the mid-height of the web. The distance <b>d</b> for the flanges is 160 mm (half the web height plus half the flange thickness).</li>
        <li><b>Parallel Axis Theorem for Flanges:</b> <b>I_top_total = I_top + A_top*d² = 1,333,333 mm⁴ + (200 mm * 20 mm) * (160 mm)² = 53,066,667 mm⁴</b></li>
        <li><b>Parallel Axis Theorem for Bottom Flange:</b> <b>I_bottom_total = I_bottom + A_bottom*d² = 1,333,333 mm⁴ + (200 mm * 20 mm) * (160 mm)² = 53,066,667 mm⁴</b></li>
    </ul>

    <p>3. Sum the moments of inertia:</p>
    <p><b>I_total = I_top_total + I_web + I_bottom_total = 53,066,667 mm⁴ + 22,500,000 mm⁴ + 53,066,667 mm⁴ = 128,633,334 mm⁴</b></p>

    <h2>Applications of the Second Moment of Inertia in I-Beams</h2>
    <p>The second moment of inertia is crucial in various applications involving I-beams, from skyscrapers to bridges and beyond.</p>

    <h3>Building Construction</h3>
    <p>In building construction, I-beams are used as <b>floor joists</b> and <b>girders</b>. Their high second moment of inertia allows them to support heavy loads over long spans without excessive deflection, ensuring structural integrity and safety.</p>

    <h3>Bridge Engineering</h3>
    <p>I-beams are also widely used in bridge construction. Their ability to resist bending and shear forces makes them ideal for use in <b>trusses</b> and <b>girders</b>, providing the necessary support for long spans and heavy traffic loads.</p>

    <h3>Industrial Applications</h3>
    <p>In industrial settings, I-beams are used in the construction of <b>machinery frames</b>, <b>support structures</b>, and <b>storage racks</b>. Their strength and durability make them suitable for supporting heavy equipment and materials.</p>

    <h2>Optimizing the Second Moment of Inertia</h2>
    <p>Engineers often seek to optimize the second moment of inertia to achieve the best balance between material usage and structural performance. This involves adjusting the dimensions and shape of the I-beam to maximize its resistance to bending and deflection.</p>

    <h3>Material Selection</h3>
    <p>The choice of material significantly impacts the second moment of inertia. Materials with higher <b>modulus of elasticity</b> and <b>yield strength</b> can enhance the beam's performance. Common materials for I-beams include steel, aluminum, and reinforced concrete.</p>

    <h3>Geometric Optimization</h3>
    <p>Adjusting the dimensions of the I-beam can optimize its second moment of inertia. Increasing the flange width or thickness, or the web height, can significantly enhance the beam's resistance to bending. However, these changes must be balanced with considerations of weight, cost, and material availability.</p>

    <h3>Advanced Design Techniques</h3>
    <p>Advanced design techniques, such as <b>finite element analysis (FEA)</b> and <b>topology optimization</b>, allow engineers to model and optimize the second moment of inertia for complex beam shapes and loading conditions. These techniques provide a more precise understanding of how the beam will perform under various scenarios.</p>

    <h2>Challenges and Considerations</h2>
    <p>While the second moment of inertia is a powerful tool in structural engineering, there are several challenges and considerations that engineers must address.</p>

    <h3>Load Distribution</h3>
    <p>Understanding the distribution of loads on the beam is crucial for accurate calculations. Uneven load distribution can lead to unexpected deflection and stress concentrations, potentially compromising the beam's integrity.</p>

    <h3>Manufacturing Tolerances</h3>
    <p>Manufacturing tolerances can affect the actual dimensions of the I-beam, impacting its second moment of inertia. Engineers must account for these variations to ensure the beam performs as expected.</p>

    <h3>Environmental Factors</h3>
    <p>Environmental factors, such as temperature changes and corrosion, can affect the material properties and dimensions of the I-beam. Engineers must consider these factors in their designs to ensure long-term durability and performance.</p>

    <h2>Future Trends in I-Beam Design</h2>
    <p>As technology advances, new trends are emerging in the design and application of I-beams, driven by the need for more efficient and sustainable structures.</p>

    <h3>Lightweight Materials</h3>
    <p>The development of lightweight, high-strength materials, such as <b>carbon fiber composites</b> and <b>advanced alloys</b>, offers the potential to create I-beams with higher second moments of inertia while reducing weight. These materials can lead to more efficient structures with lower transportation and installation costs.</p>

    <h3>3D Printing and Additive Manufacturing</h3>
    <p>3D printing and additive manufacturing technologies are revolutionizing the production of I-beams. These methods allow for the creation of complex, optimized shapes that maximize the second moment of inertia while minimizing material usage.</p>

    <h3>Sustainability and Green Design</h3>
    <p>Sustainability is becoming increasingly important in structural engineering. Engineers are exploring ways to design I-beams that use recycled materials and have a lower environmental impact, without compromising their structural performance.</p>

    <h2>Conclusion</h2>
    <p>The second moment of inertia is a critical property in the design and analysis of I-beams, influencing their ability to resist bending and deflection. By understanding and optimizing this property, engineers can create more efficient, durable, and sustainable structures. As technology and materials continue to evolve, the future of I-beam design holds exciting possibilities for innovation and improvement.</p>
</article>

</body>
</html>

See also  U-Haul Rental Truck in San Francisco, CA: Affordable Options
Mark Smith

Mark Smith

Mark Smith is a versatile individual with a unique combination of skills and expertise. As a journalist and mechanical engineer, he has made significant contributions to the field of automobiles and trucks. Mark's extensive knowledge in both journalism and engineering allows him to provide insightful and detailed analysis of various automotive topics.With a background in mechanical engineering, Mark possesses a deep understanding of the technical aspects of vehicles, including their design, functionality, and performance. His expertise in this area enables him to dissect complex engineering concepts and present them in a comprehensible manner to his audience.As a journalist, Mark excels at researching, investigating, and reporting on automotive news and developments. He has a keen eye for detail and a knack for storytelling, which enables him to deliver engaging and informative articles. Mark's writing style is characterized by his ability to present technical information in a way that is accessible to readers from different backgrounds, whether they are automotive enthusiasts or simply interested in staying updated with the latest industry trends.

Leave a Reply

Go up